摘要 20世纪70年代磁共振成像技术的发明为生物医学成像开辟了一个极富生命力的领域。随着技术的进步和生命科学研究的深入,磁共振成像技术正向超高场发展。文章将在介绍磁共振成像技术发展的历史后,结合作者的认识,简要介绍超高磁共振成像技术的发展现状和关键技术方面的进展。
关键词 磁共振成像,超高场,超导磁体,梯度
自古以来,人类出于对自身的认识,受疾病的困扰等原因,总是力图探究人体自身的结构和内在的信息。由于条件的限制,那时只能通过外部手段试图间接地获取人体内部的信息,因而创造出传统医学中的种种手段,比如中医的望、闻、问、切等方法。现代科技的发展,使得人们可以通过一些物理的方法获取人体内部的图像,从而能够更精确地诊断疾病,更深入地认识人体自身。比如常用的X光、CT、超声、磁共振等成像方法,不仅可以获得人体的内部构造图像,还可以获取生命活动过程的影像。
1895 年德国物理学家威廉·伦琴发现X 射线,开创了医学影像的先河。1978 年,一位名叫G. N. Hounsfield 的工程师公布了计算机断层摄影的结果。这是继X射线发现后,放射医学领域里最重要的突破,也是20 世纪科学技术的重大成就之一。Hounsfield 与Cormack 由于在放射医学中的划时代贡献而获得了1979 年诺贝尔生理与医学奖。超声成像设备的发展得益于在“二战”中雷达与声纳技术的发展。20 世纪50 年代,简单的A型超声诊断仪开始用于临床。到了70 年代,能提供断面动态的B型仪器问世。80 年代初问世的超声彩色血流图是目前临床上使用的高档超声诊断仪。1945 年美国学者发现了核磁共振现象。70 年代后期人体磁共振成像获得成功。2003 年,诺贝尔生理或医学奖授予了对磁共振成像研究作出杰出贡献的美国科学家Paul C. Lauterbur 和英国科学家Peter Mansfied。
磁共振成像(magnetic resonance imaging,简称MRI)通过检测人体发射出的微弱电磁波,计算出人体内部结构,其设备通常具有如图1 所示的外观。

图1 目前常用的两类医用磁共振成像装置
磁共振成像的基本原理来自于1946 年美国学者Bloch 和Purcell 的发现。在外磁场的作用下,利用人体自身发出的磁共振信号,获得人体内部的磁共振断层图像。
自然界中的任何物质都是由分子或原子组成的,如水分子H—O—H,是由2 个氢原子与1个氧原子组成。氢原子核中只有1 个质子,有着沿自身轴旋转的固有本性,质子距原子核中心有一定距离。因此质子自旋就相当于正电荷在环形线圈中流动,在其周围会形成一个小磁场。从经典物理上看,所有含奇数质子的原子核均在其自旋过程中产生自旋磁动量,也称核磁矩,它具有方向性和力的效应。核磁矩的大小是原子核的固有特性,它决定磁共振信号的敏感性。氢的原子核最简单,只有单一的质子,故具有最强的磁矩,最易受外来磁场的影响,并且氢质子在人体内分布最广,含量最高,因此传统的磁共振成像绝大多数都选用1H为靶原子核。人体内的每一个氢质子可被视作为一个小磁体(图2)。

图2 氢原子核的自旋产生磁场
从微观量子力学上看,原子核的自旋是微观粒子绕着轴高速旋转(如地球自转),其自旋的原因是存在自旋角动量(固有角动量和轨道角动量的矢量和),自旋情况由核的自旋量子数I 来表征:

I=0,ρ=0,没有自旋,不能产生自旋角动量,不会产生共振信号。只有当I >0 时,才产生共振信号。
当I≠0 时原子核具有自旋角动量,同时电子绕着原子核运动,等效于环电流,因此原子核周围出现磁场,原子核等效为磁棒。设原子核的磁矩为μN,其方向垂直于环电流方向,与自旋角动量重合,其大小为:

其中,γN是核的旋磁比,与原子核运动无关,h为普朗克常量。
无外磁场时,自旋核的取向是任意的,其产生的磁场也是任意的,宏观上物质没有磁性;当处于外磁场时,自旋核的角动量受到外磁场力矩作用而成一定规律排列。在直角坐标系中,取z轴方向与磁场B0同向。那么,原子核的自旋角动量在z 轴上的投影Pz的计算公式如下:

其中m为原子核的磁量子数,共有2I 1 个可取的值,对应于核自旋在空间的2I 1个可取向。
外磁场除了影响自旋角动量外,还影响核磁矩μ。核磁矩在z 轴上的投影计算公式如下:

其中m为原子核的磁量子数。此外,磁场对磁矩的作用会使磁矩具有一定的附加能量。核磁矩的附加能量计算公式如下:

从上面几个公式可知,核磁矩在磁场中的能量也是量子化的,称为能级。m为正的能级称为低能级;m为负的能级称为高能级。相邻能级之间的能量差是一个常数:

其大小与外磁场强度B0有关。
无外磁场时的一个能量级,在磁场作用下分裂成了2I 1 个能量级,称为塞曼能级,这种分裂称为塞曼分裂。磁共振频率和原子核本身特性和外磁场强度有关。
磁共振现象从微观量子力学解释,是指在一定条件下塞曼能级之间的共振吸收跃迁现象,当处于外磁场作用下的自旋核接受拉莫频率电磁波辐射,自旋核吸收的能量恰好等于两个能级能量差时,处于低能级的自旋核会跃迁到高能级处,就称这个现象为核磁共振现象。跃迁到高能级的原子核,会同时向低能级弛豫,这一过程对外释放能量,这些能量信号能够被外部装置接收,磁共振成像所采集的信号就是这种信号,因此,从本质上讲,磁共振成像采集的是成像体自身发出的电磁信号,相比其他电磁成像的物理原理,这是一个具有显著特色的物理方法。
在静磁场中,自旋核发生塞曼能级分裂,处在高能级和低能级的原子核数基本相等。在外部射频场的照射作用下,自旋核可以发生能级跃迁,对于每一个自旋核来说,由下而上和由上而下的跃迁概率相同,但由于低能级上的核数较多,总的来说仍出现净吸收现象。人体内包含大量的氢质子,在没有外磁场作用时,这些小磁体磁矩的方向是杂乱无章的,若此时将人体置于一个强大磁场中,这些小磁体的磁矩必须按磁场磁力线的方向重新排列。此时的磁矩有两种取向:大部分顺磁力线排列,它们的位能低,状态稳;小部分逆磁力线排列,其位能高。两者的差称为剩余自旋,由剩余自旋产生的磁化矢量称为净磁化矢量,亦称为平衡态宏观磁场化矢量M0。在绝对温度不变的情况下,两种方向质子的比例取决于外加磁场强度,磁场越高M0越大,图像的信噪比越高。
在MR的坐标系中,主磁场方向一般称为Z轴或称纵轴,垂直于主磁场方向的平面为XY平面或称水平面,平衡态宏观磁化矢量为M,每个氢质子除了自旋以外,其自旋轴还将绕着外磁场的方向(Z轴)旋转,称其为进动,其旋转频率称为拉莫尔(Larmor)频率γ,B为主磁场强度。

自从核磁共振现象被发现后,随着电子技术特别是计算机技术的发展,磁共振成像方法被提出。从1978 年到1982 年,一些有实力、有远见的医疗器械公司注意到了MRI的巨大潜力,相继开始了MRI的商品化工作,他们投入了大量的资金,从各个大学网罗了一批专家,竞相试制。20世纪80 年代初有几家公司的MRI样机试制成功,并开始了临床试用。1983—1984 年美国仪器与药物管理局(FDA)批准了4 家公司生产的MRI 机器上市,这标志着核磁共振成像技术的基本成熟和MRI商品阶段的开始。1989 年国产0.15 T临床磁共振成像设备由中国科学院电工研究所、声学研究所等联合科健公司开发成功。
谈到磁共振成像的发展,不得不从Bloch 和Purcell 说起。珀塞尔(Purcell)1912 年8 月30 日出生于美国依利诺斯州的泰勒威里(Taylorville),1929 年进入普渡大学,1933 年从电机工程系毕业,后来兴趣转向物理。1938 年珀塞尔在哈佛大学取得博士学位。1940 年,他到麻省理工学院辐射实验室工作,探索新频带和发展新微波技术。在静磁场中核磁矩的能量处于量子化能级,即能量决定于核回旋比和磁量子数。在热平衡状态下,粒子按玻尔兹曼定律分布,低能级的粒子数目多于高能级。若粒子在满足共振条件的射频电磁场作用下,则处于低能级的粒子吸收射频场能量而跃迁到高能级;处于高能级的粒子又可把能量交给晶格而回到低能级来。如果样品的弛豫时间不太长,足以建立新的平衡,保持低能级粒子数多于高能级的,便可观察到持续的核磁共振信号。珀塞尔把这样的实验称为“核磁共振吸收”。
1945 年12 月24 日,帕塞尔、托雷和庞德联名写给《物理评论》编辑部题为“固体中核磁矩共振吸收”的一封信中,首次报告了在凝聚态物质中观察到的核磁共振现象。被观测的物质是置于强度为0.71 T磁场中的大约500 g 石蜡,线圈调谐到30 MHz,对磁场的扫描功率保持在10—11 W,在29.8 MHz 处记录到线宽为40000 Hz 的核磁共振吸收谱线。
布洛赫(Bloch)1905 年10 月23 日出生于瑞士的苏黎世,进入苏黎世的联邦工业大学,后来到德国莱比锡大学继续研究,并于1928 年获得博士学位。1934 年到斯坦福大学任教。布洛赫通过射频接收的一般方法来检测核磁矩的重新取向,他确信在1 cm3的水中,质子在几千高斯的磁场中共振时,将会在围绕的线圈上感应出超过接收机噪声的射频电压,信噪比不小于3。1945 年秋,在一个磁铁两极之间,有两个轴线相互垂直的线圈,一个是发射线圈,另一个是接收线圈,两线圈的轴线均与主磁场垂直。布洛赫认为,核磁共振的基本事实在于核磁矩取向的改变。当核磁矩在射频场作用下转向时,宏观磁化矢量随之改变。按照电磁感应定律,这时在接收线圈上便产生一感应电动势。考虑到射频场比探测的信号强得多,所以发射线圈和接收线圈之间的耦合必须相当微弱,因此把它们安排成互相垂直的位置。在共振条件下,射频场使核磁矩转向,并弱耦合到接收线圈作为载波。发射线圈的端部还安装两块半圆形导电片,以调节漏感的幅值和相位,从而可检测到吸收信号或发射信号。在第一次观察到核感应信号的成功实验中,射频频率为7.76 MHz,相应的磁场强度为0.1826 T。
在此基础上,Bloch 和Purcell 开发了测量固态物质核磁共振的仪器。
Raymond Damadian (State University of New York)用他的NMR设备,验证了同一组织的不同状态,或者不同组织的T1弛豫时间的差别,这是磁共振成像的生物特性基础。1973 年Paul Lauterbur(State University of New York,图3)描述了采用梯度磁场技术进行的磁共振成像,通过反投影方法获得二维图像[1]。

图3 Paul Lauterbur 教授和世界上第一幅MRI图像:4.2 mm直径的试管中装满蒸馏水
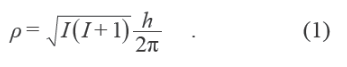
1977 年7 月8 日,Peter Mansfield 和Andrew A. Maudsley 获得了手指的断层图像,这是世界上第一幅人体图像(图4(a))。Peter Mansfield 还获得了第一幅腹部图像( 图4(b))。1977 年Raymond Damadian完成了首台磁共振成像仪的建造。

图4 (a)世界上第一幅人体磁共振图(Peter Mansfield)。他的学生Andrew Maudsley的手指头;(b)腹部图像
1974年4月,Richard Ernst注意到Lauterbur 在Raleigh (North Carolina)一次会议上的报告,他认为采用脉冲梯度磁场可以取代Lauterbur的back-projection 成像方法。Richard Ernst 采用脉冲梯度磁场的方法,通过引入相位和频率编码,采用傅里叶变换的方法进行二维磁共振成像(图5),该方法随后成为磁共振成像的标准方法。

图5 Richard Ernst和早期的头部磁共振傅里叶成像
1978 年Raymond Damadian 建立了FONAR公司,在1980 年制造了首台商业MRI 扫描仪。1982 年Robert N. Muller 获得第一幅磁化转移磁共振图像。1984 年FONAR公司获得首个磁共振成像设备FDA许可证。1986年Jürgen Hennig 等人发明了RARE(rapid acquisition with relaxation enhancement)成像方法,Axel Haase 等开发了FLASH(fast low angle shot)序列。1982 年Lauterbur 实验室实现了三维磁共振成像,并在10 年后获得商业应用。1977 年Mansfield 发展了Echo-planar imaging(EPI),并且与Ian Pykett一起获取了第一幅EPI 图像。1965 年Edward O. Stejska 和John E. Tanner(the University of Wisconsin)对扩散成像做了早期的研究。扩散成像(Diffusion magnetic resonance imaging)用于探测水分子的扩散运动,目前已经广泛用于MR神经系统成像,20世纪90年代实现了脑功能成像。
在磁共振成像装备的发展方面,以磁场强度为代表,从早期的永磁0.3 T开始,出现过各种磁场强度的MRI 设备,比如永磁的0.2 T、0.3 T、0.5 T 等,超导的0.5 T、1 T、1.5 T、2 T、3 T、4.7 T、7 T、8 T、9.4 T、10.5 T、11.75 T 等,经过多年的发展,超导MRI的磁场强度逐步固定下来,临床设备的磁场强度有1.5 T、3 T和7 T,这种标准化的发展方便了磁体和射频供应商的产品开发,这两个技术的发展也极大地促进了MRI的技术提高。但是,从磁共振成像的历史看,一个明显的特征是成像原理和方法的发展远远领先于硬件技术的发展。比如EPI 方法早在20 世纪70 年代就由Mansfield 提出,但是实际上得到大规模的应用是在90 年代以后,主要的限制是磁共振成像各种硬件技术的限制。磁共振成像装备在发展上需要解决众多技术性的问题。比如,早期的磁共振成像装置均没有涡流屏蔽设计,导致梯度在磁体上产生较大的涡流,对一些成像方法有严重的干扰,一些永磁MRI 甚至无法有效运行快速自旋回波序列。现在的MRI 装置早已普遍采用主动屏蔽的梯度技术,使得磁体的动态稳定性得到极大的提高。由于磁体的设计和工艺水平的提高,磁场在成像区内的均匀性达到非常高的水准(比如0.1 ppm),使得EPI 等序列可以顺利运行。
磁共振成像经过几十年的发展,现在已经广泛用于医学临床和科学研究,其发展也远超当初的水平,磁场强度已经从开始的几千高斯发展到目前的十万高斯甚至更高,其应用也早已超出了临床的范围,已经成为生命科学研究的重要工具。
迄今为止,所有人类成像的MRI系统的分辨率最高为200 μm,而且设计都以氢质子的磁共振信号为出发点。由于脑科学研究的深入,需要更高分辨率的MRI系统,使得人类成像的分辨率提高到50—100 μm的水平,并且可进行比如代谢水平等的功能性成像。另一方面,23Na 等携带丰富代谢信息的非质子核素也可以提供磁共振信号,但由于其信号信噪比很低,当前的MRI设备很难实现对这类核素的磁共振成像。
根据磁共振物理学原理,图像信噪比和频谱分辨力随着磁场强度的增强而增强。想要提高磁共振成像的成像性能,需要进一步提高MRI系统的磁场强度以及提高MRI系统的梯度性能,以达到理想的信噪比,从而满足超高分辨率成像的需要。越高的场强就会激发越多的自旋原子核参与成像,从而具有更高的灵敏度、分辨率、信噪比、对比度和影像清晰度。
超高场MRI的极高信噪比增益,可以实现高灵敏的X核成像。根据核磁共振原理,除了传统的1H核外,大量的自旋原子核(X 核)也可以进行磁共振成像,而其中一些是生命新陈代谢过程中至关重要的元素或其同位素,如23Na、13 C、19F、31P等。但是,在生命体中和1H相比,X核丰度有限;因此也只有在极高磁场的磁共振下,更多的X核被激发并参与成像,才能够获得高灵敏度和足够的信噪比,使得高质量X核成像成为现实。例如,60%的脑能量用于细胞膜的钠钾转运,维持细胞内环境的稳定亦具有重要意义,因此极高场磁共振的Na成像可以对于脑的细胞密度和细胞膜代谢高灵敏度分析实现突破。
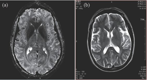
因此,磁共振成像技术目前的发展趋势,是朝着更高磁场强度发展,以期获得更高分辨率的图像,并实现多核成像。图6 显示了磁场强度的高低对图像分辨率的影像,(a)为7 T 磁场下的图像,(b)为0.35 T磁场下的图像,二者的图像分辨率可见一斑。

图6 T2 加权成像(a)7 T 下的成像,分辨率约0.3 mm;(b)0.35 T下的成像,分辨率约1 mm
由于超高场(7 T以上)磁共振成像得天独厚的优势和广泛应用前景,西方各国学术界、产业界和政府机构均高度重视,成为当前磁共振成像领域的竞争的焦点。7 T 人体磁共振成像系统正在迅猛发展,西门子已推出7 T 临床产品,目前全球装机量正在迅猛增长。更为先进的研究型9.4 T人体磁共振成像系统,目前全球已建和在建的也超过了4 台。另外,国内自行建造的9.4 T人类磁共振成像装置也进入了总体调试阶段,它的建成不仅是国内磁场强度最高的超高场磁共振成像装置,在亚洲也是首屈一指。
目前国际上在建最高场强人体磁共振成像系统是正在法国研制的、耗资达2亿多欧元的11.75 T系统,已经完成了超导磁体的建造工作,正在进行调试,这预示着更高磁场强度的极高场(Extremely High Field,EHF)系统的研制呼之欲出。
2017 年,西门子公司将目前用于临床的最高磁场强度的7 T 磁共振成像设备推向临床,相应地,国际电工学会将人体磁场安全限制也放宽到了8 T。
目前已经建成的人类成像的最高磁场强度的装置是位于明尼苏达大学的10.5 T,由西门子公司为其建造(图7)。

图7 MAGNETOM 10.5 T(2008 年开始建造,2018 年3 月1 月进行人体扫描) (a)磁体;(b)射频线圈;(c)人体图像
该装置的性能参数为:磁体重量110吨,被动屏蔽,室温孔径88 cm,磁体长度4.1 m,磁体宽度3.2 m,磁场均匀性<0.07 ppm/25 cm DSV,运行温度3 K,导线长度433 km(NbTi 线)。该装置2018 年3 月正式报告进行了人体扫描实验[2]。
除了人体成像的超高场磁共振成像装置外,用于动物临床前应用的装置在磁场强度上远远走在了前面,10 年前就出现了16.4 T/26 cm动物成像MRI 机,德国的Bruker公司在几年前也推出了更高磁场的动物成像机—— 21 T/11 cm动物成像MRI机(图8)。

图8 (a)21 T MRI磁体;(b)大鼠的脑部高分辨率成像(分辨率26 μm)
超高场MRI装置的核心是超导磁体系统。传统的MRI超导磁体中的线圈采用NbTi 合金导线绕制[3],在7 T以下的设备上,NbTi 导线有上佳的表现。到了9.4 T 以上,在设计上则需要专门的策略,其临界电流密度在9.4 T的磁场背景下接近了极限(图9(a))[4]。对于11.7 T 的MRI磁体,有采用进一步降低导线温度的方案,使NbTi 导线依然能够正常运行(图9(b))。更高的磁场则需要采用Nb3Sn材料。

图9 (a)临界电流密度与磁场强度的关系(NdTi、Nb3Sn、HTS);(b)法国能源署11.75 T人体成像MRI磁体
法国CEA的11.75T人体磁共振成像装置参数为:磁体温度1.8 K,磁场强度11.75 T, 磁场均匀度0.5 ppm/22 cm DSV,90 cm 室温孔径,主动屏蔽。
超导磁体系统的磁场均匀性是核心指标之一,为达到所需要的均匀性指标,磁体在设计建造时,需要几个阶段的设计与工艺制造:(1)设计一个绕组阵列,补偿磁场的轴向变化,并且采用多个补偿线圈,达到设计的磁场均匀性。同时,磁体通常配置多组的匀场线圈,用于励磁后的磁场调节;(2)磁体建造完成后,对实际的磁场形态测量; (3) 通过匀场,补偿实际磁场的不均匀性。
磁场的均匀性是超导磁体线圈设计的非常重要的方面, 然而,力的设计始终是一个严酷的问题。任何磁体线圈的设计,如果力和应力超过某些限制,超导线圈将不可逆转的损坏。另一个重要的设计准则是电流密度的最大值,它将影响超导磁体的磁场稳定性和使用稳定性。
匀场是超导磁体的磁场精细调整的一个过程,任何MRI 超导磁体建造完成时,其初始的磁场均匀度都达不到使用要求,这个主要是磁体建造时的误差带来的。通常,超高场MRI磁体均需要超导匀场线圈,在超导磁体建造时,即将多组的超导匀场线圈绕制在主线圈的外侧,调试时分别通过改变每组线圈的电流调节磁场均匀性,完成后将线圈闭环。
被动匀场常常在超导磁体的匀场中被采用[5]。被动匀场时通过在磁体内壁或者梯度线圈内部设置的若干个抽屉中放置导磁的材料实现的,该材料被饱和极化后,其磁场引起超导线圈所产生的磁场的变化,通过在适当位置放置适当的导磁材料,可以补偿磁场的不均匀,并且具有很高的效率。图10(a)为CAS的9.4 T MRI系统所使用的梯度线圈,在其中设置有36个抽屉,可进行高阶的匀场。

图10 (a)制作完成的9.4 T梯度线圈;(b)绕制中的匀场线圈
在超高场MRI中,采用被动匀场可能会带来其他的问题,比如温度引起的磁场漂移和均匀性的变化,因此,需要仔细选择匀场材料,并且尽量减少匀场材料的使用。
室温匀场(RT shim)对于超高场磁体系统的磁场调整是必不可少的,它是对在磁体温孔内设置的若干组铜线圈施加电流,其产生的磁场补偿磁体磁场的不均匀性。一般地,室温匀场由多组线圈构成,比如CAS的9.4 T 系统就采用了14 组室温匀场线圈(图10(b)),其参数如表1所示。

表1 CAS 9.4 T匀场线圈参数
超高场MRI 的梯度系统面临一些新的问题。梯度系统的性能主要由2 项指标来表征:磁场梯度的最大强度(Gmax)和切换率。目前,商用的梯度Gmax 一般可以达到60 mT/m, 最大切换率200 T/m/s。对于梯度线圈的设计一般还是采用逆向方法进行[6,7],并通过正向的优化得到最终的线圈结构[8,9]。图11为CAS 9.4 T系统所采用的一种梯度线圈,其最大梯度强度Gmax 可达到80 mT/m,切换率达到400 T/m/s,由于采用非对称设计,PNS得到有效的减小。

图11 9.4 T非对称内插梯度线圈
在超高场MRI中,梯度系统的运行噪声将高于普通的设备,其噪声的主要来源是梯度线圈内施加脉冲电流后,绕组在主磁场下洛伦兹力的作用产生的。1.5 T的设备最大的噪声可达到120 dB[10],而对于11.7 T 的设备,最大的噪声接近140 dB,必须对受试者加以听力保护。虽然有些静音的措施,比如采用隔音材料[11],甚至修改序列和梯度脉冲的波形等,但是对于专门的成像扫描,噪声依然是一个严重的问题。
梯度线圈的振动对于超高场MRI也是需要注意的问题。绕组的受力与电流和磁场均成正比(式8)。

超高场MRI 的梯度电流通常可以达到700 A以上,对于一个绕组长度几百米的线圈,绕组承受的总的电磁力可超过200 吨,这些力均作用在线圈的结构上。由于超高场MRI的磁体通常都比较长,在梯度线圈放置的空间内其磁场基本上为一个均匀的磁场,梯度线圈都是对称结构,因此总的力与力矩都是平衡的。但是线圈的振动是不可避免,特别是在接近线圈的共振频率时,小的电流即可引起线圈的振动(图12)[12],因此梯度线圈需要有坚实的骨架支撑,线圈总重量可超过2吨[13]。

图12 梯度线圈的振动模拟计算
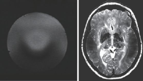
超高场MRI的射频场设计也是一个较为困难的问题。由于射频频率超过了300 MHz,介电常数引起的问题非常突出。图13 是一个在7 T 下的成像结果,可以看到在图像内部的信号非常不均匀,由于射频波长的极度缩短,组织的介电常数对射频场的分布有极大的影响,这也是目前超高场MRI 需要解决的重要问题之一。目前的9.4 T以上的MRI设备还难以获得人体体部扫描的良好图像,其主要应用还是做头部的扫描。

图13 超高场下的射频场不均匀性
SAR值升高是射频场另一个问题,随着射频频率的提高,组织对射频能量的吸收急剧上升,可导致组织局部的温度升高。SAR值的计算可由式9表示。

σ为组织电导率,ρ为组织密度。对于SAR值各国和国际组织均有严格的限制,因为过量的射频能量的吸收可能会对受试者造成危害。
图14 是一个SAR值对大脑温度升高的一个仿真结果[14],对于平均SAR=3 W/kg的头部扫描,7 T(右侧)下的温度升高显著高于3 T(左侧)。因此在超高MRI中均需要配置一个可靠的SAR值监控装置。

图14 局部SAR值的仿真结果
为了形成一个较为均匀的射频场,超高场MRI一般都采用多通道的激励线圈,通过调整每个线圈的相位,实现均匀的激发。
国内在高场磁共振成像设备开发方面较晚,1.5 T 临床MRI 产品大约在2009 年前后才完成产品开发,目前国内开发的最高磁场强度的临床MRI 产品是3 T,在国家科技计划的支持下,有企业正在开发3.2 T 和5 T 的临床MRI 产品。因此,国内目前在超高场MRI的成果主要体现在应用方面,为科研的需要,国内各研究机构采购了大量的超高场磁共振成像设备,这其中又分为两类:一类是用于动植物成像的设备,磁场强度普遍较高,主要有7 T、9.4 T和11.75 T三种磁场强度;另一类是人类成像设备,目前只有7 T 人类全身磁共振成像装置。
对于超高场MRI技术和设备的研发,国内一些机构在做尝试。笔者所在团队与国内相关研究机构和企业协作,曾经在2016 年开发了国内首台自主研发的7 T 磁共振动植物成像系统,采用自行研制的7 T 超导磁体、梯度线圈、谱仪控制台等核心部件,成功完成系统的建造和测试,所获得的测试图像分辨率达到150 μm(图15)。

图15 (a)7 T/210 MRI 原型系统;(b)梯度线圈(600 mT/m/300 A);(c)测试图像(FLASH序列,分辨率150 μm)
目前正在中国科学院生物物理研究所调试的9.4 T人类全身磁共振成像装置,是采用自主研发的核心部件研制的国内最高水平的磁共振成像装置,现已完成了系统的整合,并获取了模体的图像,近期将完成系统调试(图16)。该装置的性能参数为:磁体运行温度4.2 K,80 cm 室温孔径,磁场均匀度0.05 ppm/22 cm,被动屏蔽。

图16 9.4 T人类全身磁共振成像装置(CAS)
随着应用需求的提高,超高场MRI有向更高磁场强度发展的趋势,2016 年开始,国内外学术界陆续提出了建造14 T甚至20 T人类成像装置的可能性。从技术上看,因为小孔径的动物成像装置已经做到了21 T,因此采用混合磁体方案是有可能达到14 T 以上中等孔径的极高磁场强度的,实现人类的脑部成像。这种MRI装置的出现,可将人类探索生命过程的影像技术提升到亚微米时代,并且由于X核成像的实现,能够获得前所未有的生命活动的信息。
磁共振成像技术是人类了不起的一项技术发明,不仅为人们提供了一种安全有效的临床医学诊断工具,而且为人类认识自己开辟了一种可视化的研究途径。作为一种强有力的研究方法,超高场磁共振成像将向更高的磁场强度发展,从而获得更为精细的图像。现有的磁共振动物成像的磁场强度为21 T,但是目前可稳态运行磁体的最高磁场强度已经超过27 T,这就为更强大的磁共振成像装置的建设提供的基础,未来可能出现磁场强度超过25 T,甚至达到30 T的极高场磁共振成像装置,这就可以为科学研究提供一种活体观察细胞尺度生命活动的显微成像方法,通过4D电影成像,动态观察研究生命活动过程,正是应用的需求和技术的进步推动超高场磁共振成像的发展。